티스토리 뷰
2025학년도 세종대학교 정시 1단계, 최초, 추가 합격자 발표 일정을 알아보겠습니다. 그런 다음, 2022~2024학년도 3년간 정시에서 추가합격 예비번호가 얼마나 돌았었는지 살펴보겠습니다.
2025 세종대 정시 합격자 발표 일정
1단계, 최초, 추가 합격자 발표 일정 순서로 확인해 보겠습니다.
1단계 합격자
1단계 합격자 발표는 일부 전형에만 있습니다. 일반전형에는 1단계 합격자 발표 없이 바로 최종합격자가 발표됩니다.

가군 국방시스템공학 특별전형, 항공시스템공학 특별전형, 나군 사이버국방 특별전형의 1단계 합격자 발표는 1월 7일(화) 오후 3시로 예정되어 있습니다.
예체능 계열은 1단계 합격자 발표 없이 실기고사를 진행한 후 최종합격자를 발표합니다.
최초합격자

2025학년도 세종대 정시 최초합격자 발표는 2월 7일(금) 오후 5시로 예정되어 있습니다. 작년에는 2월 6일 오후 5시에 발표예정이었는데 2월 6일 오후 2시쯤 발표했습니다. 3시간 전 조기 발표였습니다.
최초합격자는 입학처 홈페이지(바로가기)에서 발표합니다. 좋은 결과 있으시길 바랍니다!
최초합격자 등록금 납부 기간은 2월 10일(월) 오전 10시~ 2월 12일(수) 오후 4시입니다. 합격자 본인의 지정은행 가상계좌로 입금하는 방식입니다.
추가합격자

정시 추가합격자 발표는 2월 13일(목)~ 2월 19일(수) 오후 6시에 진행됩니다. 세부 일정은 최초합격자 발표 시 공지되는 경우가 많습니다.
3년간 추가합격 예비번호
2024학년도, 2023학년도, 2022학년도 정시에서 추가합격 예비번호가 몇 번까지 돌았었는지 확인해 보겠습니다. 아래 표의 '충원 합격 순위(2024)', '마지막 합격자 예비번호(2023, 2022)' 칸에서 보실 수 있습니다. 이전에 예비번호가 많이 또는 적게 돌았던 학과이더라도 올해는 다를 수 있어 가볍게 참고해 보시면 좋을 것 같습니다.
추가합격을 기다리는 수험생분들 좋은 결과 있으시면 좋겠습니다!
2024학년도 정시 충원 인원
일반학생 전형(수능 위주)

농어촌학생 특별전형(수능위주)

특성화고교졸업자 특별전형(수능 위주)

국방시스템공학 특별전형, 항공시스템공학 특별전형(수능 위주)

2023학년도 정시 충원 인원
가군, 나군

나군


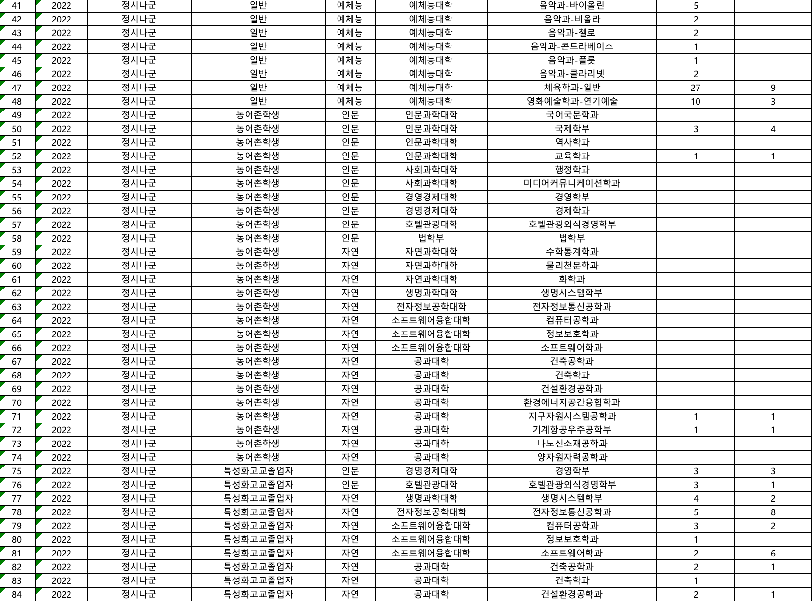
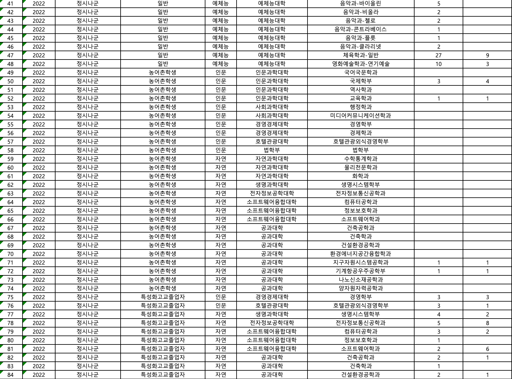
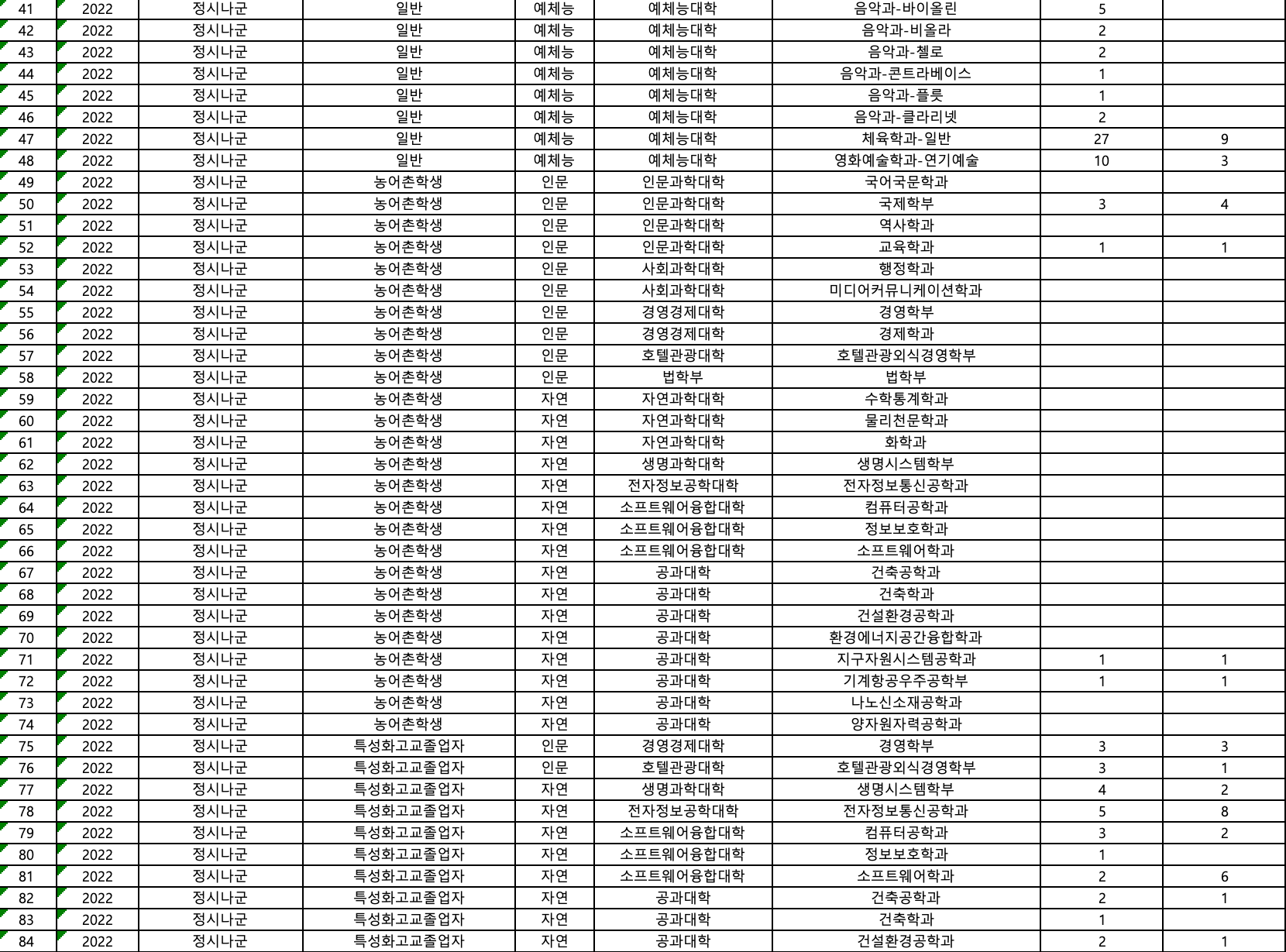
2022학년도 정시 충원 인원
가군, 나군

나군


2024 세종대 정시 합격자 발표 일정, 2023 예비번호 충원율
2024 세종대 정시 합격자 발표 일정, 2023 예비번호 충원율
2024학년도 세종대 정시 최초 합격자 발표, 추가합격자 발표 일정을 확인해 보겠습니다. 그런 다음, 전년도인 2023학년도 예비번호 충원율과 합격자의 수능 백분위 성적을 살펴보겠습니다. 2024 세
nomadte.com
