티스토리 뷰
2025학년도 한국교통대 수시 최초합격자, 추가합격자 발표 일정을 알아보겠습니다. 그런 다음 전년도인 2024학년도 수시에서 추가합격 예비번호가 몇 번까지 돌았었는지 확인해 보겠습니다.
2025 한국교통대 수시 합격자 발표 일정

수시 최초합격자 발표는 2024년 12월 13일(금) 오후 4시로 예정되어 있습니다. 좋은 결과 있으시길 바랍니다!
국립한국교통대학교 2025학년도 수시 합격자 조회
pims.jinhakapply.com
추가합격자 발표

1차~4차 추가합격은 입학처 홈페이지(바로가기)에서 발표하고, 5차~8차는 전화로 개별통보 후 홈페이지에 공지됩니다. 전화연락은 5차, 6차, 7차는 오후 5시부터 진행되고 최종차수인 8차는 오후 2시쯤부터 진행될 예정입니다.
1차 추가합격자 발표는 12월 18일(수) 오후 10시로 예정되어 있습니다.
2차 추가합격자 발표는 1월 19일(목) 오후 10시로 예정되어 있습니다.
3차 추가합격자 발표는 12월 20일(금) 오후 10시로 예정되어 있습니다.
4차 추가합격자 발표는 12월 21일(토) 오후 10시로 예정되어 있습니다.
5차 충원합격자 발표는 12월 22일(일) 오후 5시부터 진행될 예정입니다.
6차 충원합격자 발표는 12월 23일(월) 오후 5시부터 진행될 예정입니다.
7차 충원합격자는 12월 24일(화) 오후 5시부터 전화로 통보될 예정입니다.
8차 충원합격자는 12월 26일(목) 오후 2시경부터 오후 6시까지 진행될 예정입니다.
2024 추가합격 예비번호
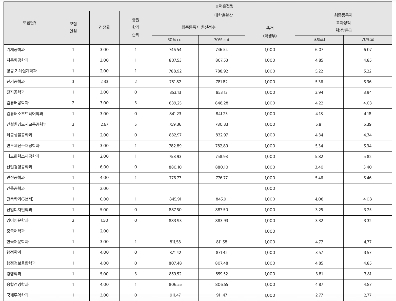
전년도인 2024학년도 수시에서 예비번호 몇 번을 받은 사람까지 추가합격 통보를 받았었는지 확인해 보겠습니다. 아래 표의 '충원 합격 순위'에서 보실 수 있습니다. 작년에 예비번호가 얼마나 돌았든 올해는 다를 수 있어 가볍게 참고해 보시면 좋을 것 같습니다.
그 밖에도 최종등록자 교과성적 학생부 등급 50% 컷, 70% 컷도 확인하실 수 있습니다. 학생부종합전형의 경우 정량적인 학생부 성적만을 보지 않고, 정성평가도 진행하는 점 유의하시면서 보셔야겠습니다.
나비인재전형 1(학생부종합)


나비인재전형 2(학생부종합)


일반전형(학생부교과)


지역인재전형(학생부교과)


사회기여 및 배려자 전형(학생부교과)


고른 기회전형(학생부교과)


농어촌전형(학생부교과)


특성화고동일계전형

기회균등전형

특성화고졸재직자전형

특수교육대상자전형


국립한국교통대학교
국립한국교통대학교
www.ut.ac.kr
2025학년도 대입 수시 정시 일정(원서접수, 대학별 고사, 합격자 발표)
2025학년도 대입 수시 정시 일정(원서접수, 대학별 고사, 합격자 발표)
2025학년도 대입 수시, 정시 일정을 알아보겠습니다. 원서접수 기간, 대학별 고사 기간, 합격자 발표 기간이 언제인지 살펴보겠습니다. 4년제 대학교와 2, 3년제 전문대학의 일정에 차이가 있는데
nomadte.com
